原の辻
| 大量の土器 |
この遺跡は、大正時代から松本友雄氏によっていろいろ調査研究がなされていました。
昭和14年、長崎県で2番目に広い深江田原(ふかえたばる)平野の耕地整理をしていたときに、銅鏡や銅鏃(どうぞく)、骨角器などが大量に出土しました。
発見されたものは、旧石器時代〜中世までの複合遺跡でしたが、特に弥生時代の大規模な多重環濠集落(たじゅうかんごうしゅうらく)であることがわかりました。
| 周辺 |
原の辻遺跡が発見された場所は、長崎県では2番めに広い、深江田原(ふかえたばる)平野です。
延々と続く豊かな、田園地帯。
そのような場所で、国特別指定遺跡が発見されたのです。
実は、この場所は、以前から、農家の人が、農作業をするときに、たくさんの土器が出て来て、農作業のじゃまになるので、出て来た土器を、田んぼのあぜ道に、無造作(むぞうさ)に積み上げていました。
もちろん、その当時は、これらの土器が、貴重なものとは知るよしもありません。
子供たちは、その土器の破片で、絵を描いたり、遠くまで投げたり、地面に投げつけて、割ったりして、遊んでいました。
知らないということは、怖いことです。
今、こんなことしていたら、何と言われることか、と思います。
| ワーストワン |
写真の川は、この原の辻を流れている幡鉾川(はたほこがわ)です。
壱岐では、一番長い川であると同時に、長崎県でワースト1の汚い川でもあります。
しかし、この幡鉾川、実は、原の辻遺跡にとってとても重要なはたらきをしていました。
この川の、下流に内海湾(うちみわん)という、入江があります。
中国大陸や朝鮮半島から船で運ばれてきた荷物は、内海湾で、降ろされ、小さな船に、移し変えて、幡鉾川を、さかのぼって、ここ、原の辻まで運ばれました。
そのことから、この幡鉾川は、原の辻にとっては、なくてはならない存在でした。
| 橋 |
幡鉾川にかかっているこの橋は、津合橋(つあいばし)といいます。
昔、壱岐の島が2つに分かれていた時代、壱岐郡と石田郡の間は海でした。
そして、津合橋がかかっているこの場所は、渡し船の津(ふなつき場のこと)でした。
しかし、地震のために、川になってしまいました。
その後、橋をかけて津合橋というようになりました。
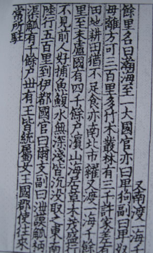
| 魏志倭人伝 |
さて、ここに当時の壱岐国を紹介した「三国志」という書物の中に「魏志倭人伝」という項目があります。
この本は、中国の西晋の時代に、陳寿が著したものです。
そこには、次のように書かれています。
「倭人は帯方の東南、大海の中に在り。・・・南一海をわたる千余里。名づけて瀚海(かんかい・現在の玄界灘)という。
一大国(壱岐国のこと)に至る。
官(かん・長官の意味)また卑狗(ひこ)といい、副(副長官の意味)を卑奴母離(ひなもり)という。方、三百里ばかり。
竹木、叢林(そうりん)多く、三千ばかりの家あり。やや田地あり。田を耕せどなお食足らず。南北に市糴(してき・売買の意味)す。・・・」。
壱岐のことについて、記述されているのは、わずか4行ですが、この文章は、当時の壱岐のようすを、ありありと、描いています。
これで当時の壱岐国のようすが良く理解できます。
つまり、魏志倭人伝によると、当時の壱岐は、中国や朝鮮から運ばれてきた土器や鉄製品を、原の辻で積み替えて、九州本土まで運ぶ、という中継貿易港のはたらきをしていたと考えられます。
そして、そのなかで、中心的な勢力を持っていた豪族が、良くあたる占いによって奈良や京都の都にまで権力を拡大していった、壱岐氏という豪族なのです。
この当時、朝廷のもとには、伊豆、対馬、壱岐からだけ集められていた占い師が20人いました。
その20人の内訳は対馬10人、伊豆5人、壱岐5人というものでした。
壱岐出身の占い師が、5人も働いていたのは、その実力を認められていたからこそでしょう。
何となく、壱岐の底力を感じます。
「魏志倭人伝」の中には、当時の日本のクニの名前が、30ケ国余り出てきます。
しかし、この本の中に書かれているクニの中で、はっきりと場所が確認できたのは、実は、壱岐国だけなのです。
その意味からいっても、この原の辻遺跡は、弥生時代中期から後期にかけての日本の遺跡の中で、とても重要な遺跡の1つです。
そのため、国は、静岡県の登呂遺跡、佐賀県の吉野ヶ里遺跡に続いて、原の辻遺跡を3番目の国特別遺跡に指定しました。
「特別」という言葉がつけられているのは国宝級の遺跡だからです。
| 荷降ろし |
写真は、幡鉾川が流れ込んでいる内海湾(うちめわん)です。
中国や朝鮮から大型の船で輸入された貿易品は、1度、この内海湾で降ろされ、小さな船に積み替えて、原の辻まで運んだといわれています。
この湾も、以前は、もっと、きれいな湾でしたが、幡鉾川の、河川工事のために、泥水が流れ込み、真珠の養殖が、大きな被害を受けました。
それ以来、以前の、きれいな海には、戻っていません。
| 船着場 |
| 最古 |
写真は原の辻で発見された船着場を復元したものです。
写真に車が写っていますが、この車の右後方の田んぼの中で実際の船着場が発見されています。
平成8年の発掘調査で発見されました。
上の土を3mくらい、掘り下げたところで発見されました。
| 敷粗朶工法(しきそだこうほう) |
この、船着場、東アジアでは最古の船着場といわれ、敷粗朶工法(しきそだこうほう)と呼ばれるハイテク技術で造られています。
粗朶とは、切り取った木の枝やその枝を束ねたものをいいます。
そのような粗朶を敷いて船着場を造るということです。
粗朶を下に敷くと、土砂が流出するのを防ぎ、滑り止めにもなる、というわけです。
つまり、敷粗朶工法というのは次のような工法です。
今、写真で突き出ている2本のはとが見えますが、この突き出ているはとの基礎の部分に、木や枝、石を敷き、その上に盛土をしてはとの形を造ります。
それから、この盛土が滑り落ちて崩れないように、周りを木で押さえたり、くいでとめます。
最後に、盛土の斜面が水で流されないように、斜面の表面に、木の皮を張り付けたり、玄武岩の礫(れき・小石)でおおって補強します。
写真のはとの表面に小石がたくさん積まれているのはそのためです。
もちろん、このような高度な土木建築の技術は日本にはありません。
敷粗朶工法は、中国で開発され、朝鮮半島を経由して、中国や朝鮮の技師が派遣されて完成したものです。
しかし、中国や朝鮮ではまだ、敷粗朶工法による船着場は発見されていないのです。
| 出島 |
また、この船着場は、陸から歩いていくのではなく、幡鉾川の中央の川の中に、出島のような状態で造られていたことが分かりました。
どうして、陸と続いていなかったのか、川の中にある孤島だったのか、まだ解明されていません。
船着場の大きさは、南北40m、東西30mあります。
水流を調節する堰(せき)も発見されました。
水は、写真の、下から上に、幡鉾川(はたほこがわ)に、向かって流れています。
幡鉾川は、左から右に向かって流れ、内海湾(うちめわん)に向かいます。
この堰よりも下流の、水底には、石がたくさん敷き詰められていました。
堰の周辺は、人工的な運河だったのではないかと、考えられています。
川の中に、港がある。
とすると、当然、陸地と港を結ぶ、橋がなくてはいけません。
橋と船。
どうにかして、発見してみたいものです。
| 建物 |
右の写真は、原の辻の中枢基地だった祭儀場です。
向かって左側は、外に復元してあるもので、最近完成したものです。
この高台は標高18mあって、実際にこの周辺で祭儀場の跡が発見されています。
材料は、イヌマキ、スギノキ、ヒノキを使用して造ってあります。
屋根は、茅葺き(かやぶき)で、茅は阿蘇高原から取り寄せました。
右側は、原の辻の展示館の中に展示してある祭儀場です。
女の占い師が男性に占いの結果を伝達しているものです。
このように、原の辻では、すべての物事を決めるのに、占いをして判断していました。
原の辻遺跡では、日本ではここだけにしかないという貴重な遺跡がたくさん発見されています。
ここでは、その一部を紹介しましょう。
| そっくり |

いや〜、実に、みごとなできばえです。
本当に良く似ています。
左側は、ムンクの叫びの絵です。
原の辻で発見されたこの人面石は、発見されたときは、傷だらけで、壊れる寸前でしたが、専門業者に修復してもらって、立派に復元されました。
墓の霊を静めたり、集団を守ったり、作物の豊作を祈るために使われたものではないかといわれています。
| 弥生土器 |
これは、大量の土器が発見された、当時の写真です。
それにしても、昔のゴミ捨て場が、現代では、貴重な資料になる、という、ことですね〜。
完全な形で、発見されることが少ないので、大部分が修復して、完全な形に仕上げます。
それは、根気がいる作業です。
原の辻では、毎日、土器などの復元作業が行われています。
ここには、おびただしいほどの土器が並んでいます。
全部、原の辻で発見された弥生土器です。
弥生時代〜古墳時代までの土器が並んでいます。
ところで、土器には、良く黒いシミがついていますね。
あれは、なぜついたかご存知でしょうか。
もちろん、縄文土器と弥生土器とでは、黒いシミのつき方が違います。
なぜかというと、土器の焼き方が違うからです。
弥生土器の場合は、土器の上に泥をかぶせて焼きます。
そのため、空気がうまくまわらなかった所は、丸い円形の、黒い、シミがつきます。
それに対して、縄文土器は、火の回りに土器を並べ、普通のたきびのように焼いたので、丸いシミではなく、まだら模様の黒いシミがついています。
| 鯨 |
.jpg)
右の土器には、捕鯨の模様が線刻されています。
墓地から出土した甕棺(かめかん)に刻まれていました。
左側の図は、鯨の部分を抜き出したものです。
捕鯨のときの安全と豊漁を祈って描かれたものです。
もちろん、この当時の捕鯨は、積極的に鯨を求めて、海に出るのではなく、偶然に、入江に入り込んできた鯨をこの絵のような様子でとっていたものと推測されます。
捕鯨関係者の墓ではないかと思われます。
| 竜 |
.jpg)
これは、竜の絵が刻みこまれている土器です。
もちろん、竜は実在した動物ではなく、中国で創造された動物です。
大きな川や湖、海に住んでいて、竜神様として、信仰の対象になっている地域もあります。
角があり、指もついていて、顔はらくだに似ており、体にはうろこがあり、大蛇のような姿をしています。
空を自由に飛び回り、火を吹き、雷や嵐を起こしたり、雨を降らせて、農作物などの豊かな恵みをもたらしたり、ときには、人間に災いを生じさせる動物でもあります。
弥生時代後期に作られたと思われます。
それにしても、まるで、昨日描いたように、くっきりと描かれていますね〜。
| 遠き島より |
遠い南洋の国から潮の流れに乗って、壱岐までたどり着きました。
ココヤシの実を拾った弥生人はこれで笛を作りました。
ココヤシの笛は、国内では、ここ原の辻だけでしか見つかっていません。
上のほうに、吹き口があり、指で押さえる穴が、前の方に3個、後ろの方に2個あります。
原の辻では2個発されました。
長さ12.8cm、幅8.7cmあり、全体の形は卵型です。
儀式や祭礼のときに楽器として使用されました。
それにしても、ちょっとでも触ると、バラバラに砕け散るような感じがします。
| 占い1 |
この当時、すべての物事を決めるには、占いによっていました。
稲の種まきの時期、刈り入れ時期、他の部落との戦争の開始時期、航海に出るとき、などは占いによって決めたといいます。
占いの方法には、右の写真のように、鏡を用いる方法、動物の肩甲骨(けんこうこつ)などを焼いて、そのひび割れの仕方によって占う、などいろいろあります。
動物の骨で占うには、次のようにします。
まず、熱した鉄製の火ばしのようなものを骨に当てて、その直後に水をかけ、ひびを発生させます。
そして、そのひびの割れ方によって、「こんなん、出ました」、と言って、いろいろなお告げを出すわけです。
占った後の骨は、占いに使った貴重なものなので、大切に保管しよう、というのではなく、ただの骨として扱われ、人の手で壊されたり、他のごみと一緒に捨てられました。
| 占い2 |
鏡は、左の写真の一番左端の1片が、占い用の鏡です。
写真の右側の、細型銅剣と一緒に発見されました。
鏡は、多紐細文鏡(たちゅうさいもんきょう)と呼んでいます。
普通の鏡は、凸(とつ)レンズですが、上の鏡はレンズの部分が凹(へこ)んでいます。
顔を映すと、逆さまに見えるので、化粧用にも使えないので、占い用に使われました。
鏡の裏に、紐(ひも)を通す穴がいくつかあり(多紐)、細かい線の模様(細文)がたくさん刻まれていす。
朝鮮でもたくさん同じものが発見されているので、朝鮮製のものではないかとされていますが、中国から来た可能性もあります。
この地域の、首長クラスのものと思われています。
左の写真は、佐賀県唐津市にある宇木汲田(うきくんでん)遺跡から出土された鏡です。
壱岐にあるものではありません。
原の辻で発見された鏡も完成するとこのような形になるものと予想されます。
| 市 |
原の辻は、中国、朝鮮と九州本土とを結ぶ、貿易中継港だったので、品物の売買も行われていました。
しかし、この当時は、まだ貨幣はなかったので、右の図のような、物々交換のときのはかりとして、竿ばかりが使用されていたと考えられています。
その、竿ばかりの重さに使う、「権(けん)」がここ、原の辻で発見されました。
権の重さは150gあります。
この権で3倍の450gまで計ることができます。
ということは、原の辻では市が開かれていたとも考えられます。
権は、銅97%でできています。
中国華北で作られ、朝鮮半島を経由して、原の辻に入ってきました。
権は、このようにバランスをとるために使用されていたので、「権力」という言葉は、この権からきたといわれています。
そういえば、私が子どもの頃は、行商のおばさんが、このような、竿ばかりを使っていました。
団塊の世代の方は、一度は、見たことがあるのでは、ないでしょうか。
| おまじない1 |
左の土器をよ〜くご覧ください。
普通の弥生土器と違って、なんとなく、色が赤っぽくなっています。
そうです。これは、土器の表面を砂でみがいて、その上にベンガラ(硫化水銀)を塗ったものです。
いろいろな物に、赤で色をつけるという風習は、壱岐では、土器のほかに、古墳の中の壁、棺おけの周りなどにも使用されています。
左の写真の土器は、祭りのときに、米の豊作や人々の健康を祈願するのに使用されました。
問題は、なぜ、このように赤く塗ったかということです。
当時、赤い色は、邪悪なものを遠ざけたり、命を再生したりする力があると考えられていたので、そのような目的のために塗られたのでないかと思われます。
| おまじない2 |
.jpg)
右の貨幣は、中国で鋳造されたものです。
貨幣は、3種類あります。
一番古い貨幣は、前漢の武帝が鋳造した五銖銭(ごしゅせん)です。
次に造られたのが、新(しん)を建国した王莽(おうもう)の時代に造られた青銅貨幣で、大泉五十(たいせんごじゅう)です。
大きさは、500円硬貨と同じくらいで、中央に四角い穴が開いています。
紀元前45〜紀元23年にかけて造られました。
この、大銭五十という貨幣が、原の辻で発見されたことにより、原の辻遺跡の年代が、弥生時代中期〜後期であると、決定されました。
その意味では、ここで発見された貨幣は、重要な意味を持っています。
新の時代には、貨泉(かせん)という貨幣も造られています。
3種類の貨幣がそろって発見されたのは、日本では初めてです。
しかし、この時代には、貨幣を支払い手段として使用することは、行われていません。
したがって、今のところは、おまじないをするために使われたのではないかといわれています。
| 戦争 |
これは、原の辻の戦士の姿です。
原の辻には、敵の侵入を防ぐために、3重の環濠が造られているので、当然、戦争はあったと見ていいでしょう。
その、クニ同士の戦いのとき、戦士はどのようないでたちをしていたでしょうか。
写真のよろいは復製品です。
よろいには、たくさんの小さな穴が開いています。
これは、この穴に紐(ひも)を通して、よろいが割れるのを防ぐためのものです。
1本の木をくり抜いた作っています。
木製の楯(たて)をよ〜く見てください。
表は赤く塗ってあります。
全体に、等間隔の穴が開いていて、穴に紐を通して、結んで補強しました。
日本では、最古のものです。
右手には、細形銅剣を持っています。
右の写真は、日本で最古の木製のよろいです。
| 高級食材 |
原の辻では、犬の骨が50体ほど発見されました。
食料用としてアジア大陸から調達したものです。
縄文時代には、犬は、ペットとして、飼われていて食用にはしていません。
しかし、弥生時代になり、大陸との交易が盛んになると、犬を食用にするという文化も入ってきました。
食用としての犬は、もともと、壱岐にいたものではなくて、主に、朝鮮半島から輸入されたものと思われます。
もともと、犬を食用にするという風習は、日本には、ありませんから、大陸から、大切なお客さんがやってきた時に、おもてなし用の高級料理として、輸入した犬を使ったと推測されます。、
犬の骨は、食用になった、いのししや鹿の骨と混じってばらばらの状態で発見されたこと、また、石器などで肉をそいだ跡が、骨にあること、さらに、髄をとるために割っている骨もあることから、食用にしたものと思われます。
写真は、発見された、犬の頭の骨です。
| 農業 |
| 稲作 |
弥生時代は、縄文時代と違って、獲物を追って移動するという生活から、一ヶ所にとどまって生活するという時代になりました。
そこでは、米や麦を栽培したり、山に入って、鳥や獣の狩りをしたり、海辺では、鯨や魚をとったり、という生活が行われていました。
籾(もみ)は、今の時代と違って、田んぼに直まきをしていました。
この当時の農業用具は、石器が中心で、原の辻では、農業に使用した石の鎌(かま)、包丁(ほうちょう)などが発見されています。
また、炭化した米や小麦も見つかりました。
| あぜ道 |
これは、この当時に作られた、田んぼのあぜ道です。
この周辺は、この深さまで掘り下げると、弥生時代の遺跡が、ごろごろ、出てきます。
最近の、構造改革のために、ほとんど、壊されていますが、それでも、この当時の様子が、良く分かります。
| 石包丁 |
石包丁は、イネを一本一本、刈り取るのに使用していました。
この当時は、田植機や稲刈り機ももちろんない時代なので、種まきから、取り入れまで、村中が総出で共同の農作業が行われていました。
石は黒曜石で、壱岐には、この黒曜石を産出する場所が何ヶ所かあり、この石が発見されています。
| 稲作のルート |
稲作が、日本にどのようなルートで入ってきたかについては、いろいろな説があります。
大きく分けると3つのルートがあります。
1つ目は、揚子江(ようすこう)流域から直接九州北部に伝来したとする説。
2つ目は、遼東半島(りょうとうはんとう)から朝鮮半島を経由して九州北部に伝来したとする説。
3つ目は、揚子江流域から山東(さんとん)半島、朝鮮半島を経由して九州北部に伝来した、という説です。
弥生時代に、米は、中国の中部や南部で栽培されていたものが、日本に伝わりました。
この時代、中国では、インド型(インデカ米)と日本型(ジャポニカ米)の、両方の種類の米が、並存して栽培されていました。
インデカ米は、粒が細長く、炊くとパサパサしているので、ドライカレーなどに用います。
これに対して、ジャポニカ米は、粒が短く、小型で、炊くと粘り気があります。
世界では、インデカ米が、多く食べられていますが、日本では、米を主食としているので、ジャポニカ米が食べられています。
稲作が中国から、直接、日本に来たのであれば、インデカ米とジャポニカ米の両方が、日本で栽培されてもいいはずです。
ところが、日本では、ジャポニカ米だけが栽培され、インデカ米はまったく栽培されていません。
ということは、稲作は、直接、中国から日本に伝わったのではなくて、ジャポニカ米が、一度、朝鮮南部で栽培され、それが、定着してから、九州に伝わり、日本全国に広がった、と考えた方がよさそうです。
| 住居 |
| 竪穴式・高床式 |
弥生時代には、竪穴式住居(たてあなしきじゅうきょ)と呼ばれている建物に住んでいました。
竪穴式住居というのは、地面を、円形や四角に50cmほど平(たいら)に掘って、周囲の内側に、柱を立てる穴を作り、これに、柱を立てて、屋根を、地面に届く長く、ふきおろした住居のことです。
屋根は、「かや」や「草」でふかれていました。
家の中では、5〜6人くらいの人たちが、生活していました。
農作物を保管する、高床式の倉庫も見られます。
| 大引床材(おおびきゆかざい) |
これは、高床式倉庫の床に使用された柱です。
上の写真の高床式倉庫には、柱が4本建っています。
4本立っている柱と柱の間には、横に材木が通してあります。
この横に通してある材木のことを大引床材(おおびきゆかざい)といいます。
2本の柱に開けてある穴に差し込んで、くさび状の栓でとめて、固定します。
弥生時代のもので、このようにして使用されていたものが発見されたのは、日本では、原の辻が初めてです。
この大引床材は、長さ約3m、直径約20cmあります。
材料は壱岐に良くあるイヌマキです。
| 住居跡 |
これは、発掘された、竪穴式住居の跡です。
真ん中が、スプーンでえぐりとったように、掘り下げて、踏み固めてあります。
ここが、土間にあたり、中心に、火を燃やしたり、煮炊きをしたりする場所がありました。
柱を立てた跡がはっきり残っています。
火を使用した跡もあります。
| 骨組み |
これは、竪穴式住居の骨組みです。
支柱の柱が4本あって、周りに、補助の柱が立っています。
4本の柱を、支えて、固定するために、4本の柱の頭に、直接くっ付けて、柱と柱をつないでいる材木のことを、桁(けた)といいます。
これに対して、屋根を支えるために、桁から桁に横に渡した、材木を、梁(はり))といいます。
ここでは、省略してありますが、実際には、柱の根もとには、沈下を防ぐ、板が敷かれています。
| 集落跡 |
写真は、集落の跡です。
稲作が普及したので、人々は、平野の周りで生活するようになりました。
けっこう、家と家との距離が、近いですね〜。
| 環濠(かんごう) |
写真で、青い枠で囲ってあるのは原の辻遺跡の領域です。
縦、横それぞれ1kmの領域に囲まれています。
その内側に、黄色い枠で囲ってあるのが見えます。
これは、環濠(かんごう)といって、外、中、内と3重の深い溝が掘ってあります。
この環濠の規模は、東西約350m、南北約750mの楕円形(だえんけい)をしています。
環濠の幅は2〜4m、深さは1.5〜3mのV字型に造られています。
環濠は、何のために造られたのでしょうか。
一般的には、外から敵や動物が侵入してくるのを防ぐためとか、排水路や用水路に利用するためとか、境界線を示すためとか、いろいろ言われています。
これは、集落の周りに作られた、環濠(かんごう)です。
この環濠は、V字型をしていて、幅3m、深さ1mあります。
原の辻遺跡の環濠は、3重にわたる、多重環濠です。
写真の環濠は、3重の環濠のなかの、内側の環濠です。
このように、周りが環濠で囲まれた、集落のことを、環濠集落と呼んでいます。
それにしても、延々と続いていて、ずいぶん長いものですね〜。
| 墓地 |
| 共同墓地 |
縄文時代は、人が亡くなると、どこにでも埋葬していました。
しかし、弥生時代になると、共同墓地がつくられるようになりました。
ここ、原の辻では、9ヶ所の、共同墓地が発見されています。
人骨の中には、足が、鋭い金属で、傷つけられたものもあり、水や田畑をめぐって、戦争が行われたことが、分かります。
壱岐の長官や副長官の王墓はまだ発見されていません。
| 弥生人 |
頭蓋骨の特徴から、壱岐には、もともと壱岐に土着していた、縄文系弥生人の特徴をもつものと、朝鮮や中国の大陸からやって来た、渡来系弥生人の2つの種類があることが分かりました。
もともと、壱岐に土着していた弥生人は、どちらかというと、顔全体が丸顔で、しかも、低顔で、身長も低いのが特徴です。
低顔というのは、額(ひたい)の部分がはっきりしていて、目や鼻、口などの顔の部分が、顔の下半分にコンパクトについています。
長崎県北部、佐賀県の玄界灘に面している地域の弥生人と同種とされています。
これに対して、大陸からやって来た弥生人は、どちらかというと、顔全体が面長(おもなが)で、しかも、高顔で、身長も高くなっています。
高顔というのは、極端に言えば、目や鼻、口などの顔の部分が、顔の上半分にあり、額の部分がはっきりせず、顔がでかく、のっぺりした感じです。
大陸系弥生人は佐賀県や福岡県の北部九州、山口県に住んでいました。
あなたの、顔は、どちらの方の顔でしょうか。
よ〜く、鏡で確認してください。
| 埋葬の形態 |
墓の種類には、三つあります。
一、四角い墓穴を掘って、そこに、木棺を埋める、土壙墓(どこうぼ)。
二、木の棺(ひつぎ)ではなく、甕(かめ)や壷(つぼ)を使用した、甕棺墓(かめかんぼ)。
使用された、甕には、一個のものと、二つの甕を合わせて使用する、合わせ口を持った、甕棺があります。
また、甕には、大人用と子供用とがあり、水を抜くための穴もあけられています。
原の辻では、子どもの甕棺墓が、大人のものよりも、数多く発見されています。
三、板石を、正方形や長方形に組み合わせて作る、箱式石棺墓(はこしきせきかんぼ)などです。
| 副葬品 |
副葬品として、いろいろな鏡があります。
たとえば、中国の鏡をまねて作った鏡の小型倣製鏡(こがたほうせいきょう)などです。
また、いろいろな、玉類もたくさんあります。
トンボ玉は、前漢時代の中国からの輸入品で、もともとのガラスの色と異なる色のガラスを巻きつけ、いろいろな模様をつくったもので、国内では最古のものといわれています。
その他の玉類として、切子(きりこ)玉、ガラス製勾玉(まがたま)、碧玉製管玉(へきぎょくせいくだたま)、ガラス小玉などもあります。
古代人も、ファッションには、そうとう、気を使っていたのですね〜。
また、各種の銅製品もあります。
中国式銅剣、断面がひし形で刀部がさらに厚くなっている戦国式銅剣、青銅器、身分の高い人が身につけていたブレスレットの有鉤銅釧(ゆうこうどうくしろ)などです。
| 屈葬 |
縄文時代には、死者を葬(ほうむ)るときに、手足を伸ばして葬る、伸展葬(しんてんそう)が行われました。
これに対して、弥生時代には、手足を曲げて、しばって埋めるという、屈葬(くっそう)が行われるようになりました。
屈葬が行われるようになった理由として、次のようなものがあります。
一、掘るときに、面積が少しで良いので、手間がかからず、小さな墓穴ですむ
二、死者の姿勢が座位になるので、休息の姿勢になり、安らかに来世を過ごすことができる
三、母胎(ぼたい)内の、胎児の姿勢と同じなので、生まれ変われるようにとの願いを込めた
四、死者が、この世に戻って来るのを恐れたので、しばって、埋葬した、などです。